学部卒でも3つ程度の言語を「苦手ですが・・・」とか言いながら、平気で読み書き話し(+聞くで「よんぎのう」だそうです)ています。

 翻って、いま日本国内で、例えば社内で、英語の案件が来たとき、普通にビジネスを全うする人がオフィス全体で、あるいは同期で何割程度、あるいは何人いるか、ちょっと考えてみてください。

 その割合が、海外の大学に対して日本が明確に後れを取っている、身近で具体的な指標の一つと思っていただいて、以下読み進めてください。

 絵に描いた餅ではなく、現実の例でイメージしながら考えていただく方が残るし、本稿の内容を使っていただけると思います。

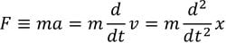
 高等学校の物理で

 という式を習います。ニュートンの運動方程式ですが、これ自身は単なる文字を使った整式で、中学生でも読むことはできるでしょう。

 Fとは「力」mは質点の質量、aはその質点が運動する際の加速度を表し、上の式は「力は加速度と質量の積」と読むことができます。高校生向けには、いきなり質量とか加速度とかいう言葉が天下りでやってきます。

 でも、この関係式は、実は「ニュートンの第2法則」で、物体の運動を捉えるうえでの一つの考え方でしかありません。

 大げさに言うと世界の捉え方、つまり古典力学的世界観と呼ばれるもの(マジですよ、笑)にほかならず、物体の位置座標をx、その単位時間あたりの移動率をd/dtと記し、位置の変化率を速度v、速度の変化率を加速度aと記すとして

 と記すのが、物理をご存じの方には良心的と映るように思います。ここでFとmaの間が、普段目にする「イコール」ではなく、3本線の「≡」になっているのにご注意ください。