もちろん、それに近い専門を修めた人は、普通に修めている内容です。でも、ライフサイエンスとか、ネットワークとか、セキュリティとか、一般の「専門」を修めた人に「帰属家賃」とか「コアコア」とか言っても、まず100%通じません。
それどころか、株主と経営者の違いといったことも、実のところちんぷんかんぷんですし、仮にそこで
「株主というのはね・・・」「経営者というのは・・・」
と逐語的にお話したところで、ああそうですか、というだけで、本質的な問題の核は全く理解しないまま、時間が空疎に過ぎるでしょう。
逆に、経済用語に慣れた人、例えばエコノミスト、アナリストという人が、ではそのダイナミクスをどう説明するかと言えば、言葉で「上がった」「下がった」を言った次には、日本国内では、なぜかグラフやデータが出て、数理の部分がすっぽり全部抜けていることも見かけます。
また、欧米でMBAなど取られた方には、しっかり中間のメカニズムを考慮しながら、精緻な議論を展開する人もおられます(そうでない方も、いるかもしれません)。
要するに、日本はピンポイントの専門を修めた人がいればいる、という程度。
これに対して、グローバル・スタンダードは、主専攻、副専攻と2つの分野について、大学以上の水準で、上記のdとかdtとかを使う微分方程式を普通に使って、バイオダイバーシティでも金融派生商品でも、副専攻で一通り自由に考えられるようになった、主専攻=コンピューター・サイエンス、あるいはゲノミクスといった人材を、国際水準では普通に安定育成しています。
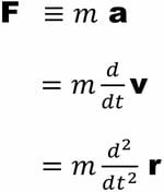
F=maは中学レベルの「文字を使った整式」で、このギャップが、実は島国日本が落ち込んでいる陥没を典型的に示していると思います。
内外温度差をお察しいただけると思います。
では、どうしたらよいのか。
その対案が出せなければ、ただの遠吠え野党と変わらないことになりますので、実際にどのようにして「卓越大学」「卓越大学院」を実現していくか、当事者の立ち位置から具体策を続稿に記したいと思います。
つづく

