早稲田大学入試「数学必修」のサバイバル慧眼
高校数学が分からない社会人はAI次世代を生き残れるか?
2021.4.20(火)
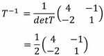
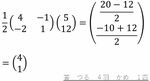
ここからは、JBpress Premium 限定です。
カンタン登録!続けて記事をお読みください。詳細はこちら
連載の次の記事
宝塚市立中吹奏楽部の自殺未遂事件が示す日本の闇

あわせてお読みください
世界の中の日本 バックナンバー
要件が厳格化された外国人の経営者ビザ、次の論点は外国人労働者の6分の1を占める「技人国ビザ」の外国人派遣社員
長野 光 | 海老原 嗣生
赤門、安田講堂、イチ公、上野英三郎博士と「ハチ」……異色の東京大学ガチャはなぜ生まれたのか?
尾松 洋明
軍需産業の売上高、日本と韓国の企業が大幅増、欧州からの引き合い急増の韓国は「世界4大軍需輸出国を目指す」勢い
木村 正人
時計の文字盤を知らない子供たち、激変し始めた小学校の教育環境
伊東 乾
増え続ける在留外国人に全く足りていない日本語教育の機会、日本は移民を受け入れる準備がどれだけできているのか?
長野 光 | 佐藤 友則
「汚い首は斬ってやる」の暴言はなぜ生まれた?虚勢を張りたがる中国外交官が生み出される歴史的背景
安木 新一郎



