関孝和の業績
関孝和が算聖と讃えられるほどの業績を残しました。前回の傍書法はその1つに過ぎません。
傍書法(代数式の表し方とその計算法)、ホーナー法(多変数高次方程式の解法)、方程式の判別式、ニュートン法、零約術(近似分数)、不定方程式の解法、招差法(階差を用いた未定係数決定法)、正多角形に関する関係式、円理(円周率の計算)、ニュートンの補間法、球の体積、ハップス・ギュルダンの定理、円錐曲線論、方陣の一般論、授時暦の研究、…
これら関孝和の数学の全貌を紹介することは困難を極めます。それでもなお関孝和の偉大さを伝えるために、業績の一端を紹介してみようと思います。
ここでは、世界に先駆けた関孝和の発見を2つ取り上げます。
関の公式その1 関・ベルヌーイ数
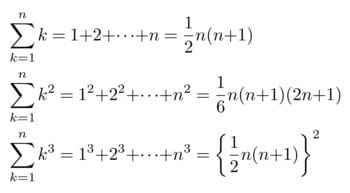
自然数のべき乗をたし合わせる公式は総和公式と呼ばれます。高校数学の教科書に登場するのは次のようなΣを用いた公式で、数列の部分がkの1乗、2乗、3乗である場合です。
高校数学で習う総和公式
すると、k の4乗、5乗、…と考えて、一般にp乗の場合の公式を考えることができます。

総和公式の一般化に初めて成功した数学者こそ、われらが関孝和(1640?-1708)とスイスが生んだ世界的数学者ヤコブ・ベルヌーイ(1654-1705)です。
関孝和(1640?~1708)
ヤコブ・ベルヌーイ(1654~1705)
驚くべきことが2つあります。2人が同時期に研究を行っていること、そしてその研究の中身も同じであることです。
2人とも法則を見つけるために、kの4乗、5乗、…、10乗までの場合の総和公式を計算しています。
『括用算法(かつようさんぽう)』(1712年)と『Ars Conjectandi(推測術)』(1713年)の中で発表されました。次が両者が10乗までの場合の総和公式を計算している該当部分です。

