江戸時代、世界最先端だった日本の数学
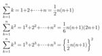
算聖関孝和の数学~「関・ベルヌーイ数」と「関の公式」
2017.4.20(木)
ここからは、JBpress Premium 限定です。
カンタン登録!続けて記事をお読みください。詳細はこちら
次の記事へ
関孝和の最大の理解者、建部賢弘
あわせてお読みください
本日の新着
【高齢者連れ去り・江東区①】97歳女性を自治体が誘拐?警察が令状なしでカギを壊し…娘も連絡取れず行方不明
フロントラインプレス | 西岡 千史
【Podcast】日本株はどこまで上がる?高市政権で現実味増す長期強気シナリオを徹底検証、企業改革は第2フェーズへ
耳で聴くJBpress《ちょっとクセになるニュース》
JBpress
赤門、安田講堂、イチ公、上野英三郎博士と「ハチ」……異色の東京大学ガチャはなぜ生まれたのか?
安田講堂の建物の傷まで再現、原型師が見せた驚きのこだわりと東京大学が示した知と遊びのハイブリッド
尾松 洋明
それでも退職代行・引き止めサービスが活況を呈する背景と問題点、会社と社員の意思疎通はなぜ壊れるのか
川上 敬太郎






