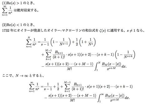
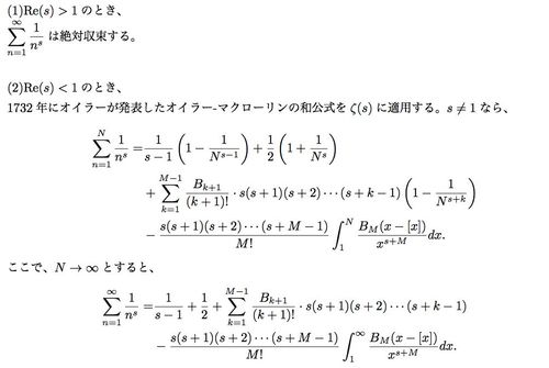
ついに、リーマンゼータの零点を見る サラリーマンのための超入門・リーマン予想(3) 桜井 進 著者フォロー フォロー中 数理科学 2016.6.23(木) シェア8 Tweet 1 2 3 4 5 6 ギャラリーページへ 図の最後の式が、すべての複素数sへと解析接続を与える式です。この解析接続された関数も再びζ(s)と書きます。 残り3904文字 ここからは、JBpress Premium 限定です。 会員ログイン JBpress Premiumを無料で試す 初月無料 税込550円/月 全記事読み放題! カンタン登録!続けて記事をお読みください。詳細はこちら Premium会員に人気の記事 【自民党総裁選】小泉純一郎はルール変更追い風に初勝利、強者・権力者が「ゴールポスト」を動かした歴史 参政党の演説に在日コリアン3世の私が共感してしまった理由 AIが「働きたくても働けない人」と「働かなくてもいい人」を生成し始めた シェア8 Tweet あわせてお読みください 神秘の数、素数の世界 サラリーマンのための超入門・リーマン予想(2) 桜井 進 サラリーマンのための超入門・リーマン予想 フェルマー予想、ポアンカレ予想 V.S. リーマン予想 桜井 進 ゼータ関数を支える日本人数学者、関孝和 人はたすことをやめない~Σの原風景 桜井 進 宇宙を支えていたのは、驚異のたし算だった 人はたすことをやめない~オイラーの超絶技法 桜井 進 無限級数の中に潜んでいたsin、e、log、微積分 人はたすことをやめない~オイラーゼータ誕生物語 桜井 進 本日の新着 一覧 予想超える雇用減、富裕層はさらに富み貧困層は…米国「K字型経済」が進行、支持層にバレたトランプ経済政策の矛盾 木村 正人 それでも退職代行・引き止めサービスが活況を呈する背景と問題点、会社と社員の意思疎通はなぜ壊れるのか 川上 敬太郎 「エモグラム」記事盗用問題、1年前の毎日新聞に学べなかった産経新聞、経営難の2社で続いた不祥事は偶然ではない 【西田亮介の週刊時評】PV狙ってスベる新聞社、「戦略的撤退」が検討される時期にきた 西田 亮介 AI時代を切り開いた半導体、主役交代が静かに進み始めている CPU、GPU、TPU、NPUを経営の視点から読み解く 木寺 祥友 数の世界の大冒険 バックナンバー 一覧 新型コロナ対策:外出自粛効果はどれだけあるのか 桜井 進 数学ツールで遊んでみよう 桜井 進 江戸時代、世界最先端だった日本の数学 桜井 進 関孝和の最大の理解者、建部賢弘 桜井 進 江戸の数学を発展させた遺題継承 桜井 進 日本を数学大国にしたミリオンセラー『塵劫記』 桜井 進 フォロー機能について フォロー機能とは、指定した著者の新着記事の通知を受け取れる機能です。 フォローした著者の新着記事があるとヘッダー(ページ上部)のフォロー記事アイコンに赤丸で通知されます。 フォローした著者の一覧はマイページで確認できます。 ※フォロー機能は無料会員と有料会員の方のみ使用可能な機能です。 設定方法 記事ページのタイトル下にある「フォローする」アイコンをクリックするとその記事の著者をフォローできます。 確認方法 フォロー中の著者を確認したい場合、ヘッダーのマイページアイコンからマイページを開くことで確認できます。 解除方法 フォローを解除する際は、マイページのフォロー中の著者一覧から「フォロー中」アイコンをクリック、または解除したい著者の記事を開き、タイトル下にある「フォロー中」アイコンをクリックすることで解除できます。 ご登録 ログイン