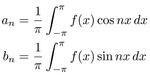
世界は波でできている
驚異のフーリエ変換
2016.11.10(木)
ここからは、JBpress Premium 限定です。
カンタン登録!続けて記事をお読みください。詳細はこちら
次の記事へ
測るための数が導いたイノベーション
あわせてお読みください
本日の新着
要件が厳格化された外国人の経営者ビザ、次の論点は外国人労働者の6分の1を占める「技人国ビザ」の外国人派遣社員
【著者に聞く】『外国人急増、日本はどうなる?』の海老原嗣生が語る、在留外国人を巡る間違いだらけの議論
長野 光 | 海老原 嗣生
赤門、安田講堂、イチ公、上野英三郎博士と「ハチ」……異色の東京大学ガチャはなぜ生まれたのか?
安田講堂の建物の傷まで再現、原型師が見せた驚きのこだわりと東京大学が示した知と遊びのハイブリッド
尾松 洋明
ドイツ経済は「フリーフォール」状態で八方塞がり、財政拡大や反移民政策などでスタグフレーションのリスク
藤 和彦
米国の対中半導体規制、中国に深刻な打撃 先端AIチップ不足で政府が供給配分に介入
ファーウェイ優先も、現場は密輸や「力任せ」の打開策 米国内では規制継続めぐり論争
小久保 重信




