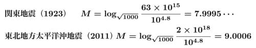
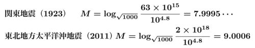
対数の発見がもたらした大航海時代と技術革新 ジョン・ネイピア物語~対数logはlogos(神の言葉) 桜井 進 著者フォロー フォロー中 数理科学 2016.3.31(木) シェア162 Tweet 1 2 3 4 5 6 7 8 9 ギャラリーページへ 上の2つの地震の大きさはそれぞれM=8.0、M=9.0となり分かりやすくなります。 残り6278文字 ここからは、JBpress Premium 限定です。 会員ログイン JBpress Premiumを無料で試す 初月無料 税込550円/月 全記事読み放題! カンタン登録!続けて記事をお読みください。詳細はこちら Premium会員に人気の記事 【自民党総裁選】小泉純一郎はルール変更追い風に初勝利、強者・権力者が「ゴールポスト」を動かした歴史 参政党の演説に在日コリアン3世の私が共感してしまった理由 AIが「働きたくても働けない人」と「働かなくてもいい人」を生成し始めた シェア162 Tweet あわせてお読みください 三角関数が面白くなる4000年の歴史旅行 三角比が三角関数に変身するまでの長い旅 桜井 進 ホワイトデーは、アインシュタイン誕生日と πの日 驚異の数、円周率 πの世界~現代に甦るラマヌジャンの公式 桜井 進 重力波の発見は数学のおかげだった アインシュタイン方程式~数学の絶大なる威力 桜井 進 パターンの中からルールを探せ、算数から数学へ つれづれなるままに数の物語(第5回)~九九からガウスの合同式へ 桜井 進 本日の新着 一覧 【書評】『後継者不足時代の事業承継』〜事業承継と女性のキャリア形成、「当事者」による葛藤についての論考〜 評者:安川 新一郎(東京大学客員研究員 グレートジャーニー合同会社代表) 安川 新一郎<Hon Zuki !> それでも退職代行・引き止めサービスが活況を呈する背景と問題点、会社と社員の意思疎通はなぜ壊れるのか 川上 敬太郎 要件が厳格化された外国人の経営者ビザ、次の論点は外国人労働者の6分の1を占める「技人国ビザ」の外国人派遣社員 【著者に聞く】『外国人急増、日本はどうなる?』の海老原嗣生が語る、在留外国人を巡る間違いだらけの議論 長野 光 | 海老原 嗣生 【高齢者連れ去り・江東区①】97歳女性を自治体が誘拐?警察が令状なしでカギを壊し…娘も連絡取れず行方不明 フロントラインプレス | 西岡 千史 数の世界の大冒険 バックナンバー 一覧 新型コロナ対策:外出自粛効果はどれだけあるのか 桜井 進 数学ツールで遊んでみよう 桜井 進 江戸時代、世界最先端だった日本の数学 桜井 進 関孝和の最大の理解者、建部賢弘 桜井 進 江戸の数学を発展させた遺題継承 桜井 進 日本を数学大国にしたミリオンセラー『塵劫記』 桜井 進 フォロー機能について フォロー機能とは、指定した著者の新着記事の通知を受け取れる機能です。 フォローした著者の新着記事があるとヘッダー(ページ上部)のフォロー記事アイコンに赤丸で通知されます。 フォローした著者の一覧はマイページで確認できます。 ※フォロー機能は無料会員と有料会員の方のみ使用可能な機能です。 設定方法 記事ページのタイトル下にある「フォローする」アイコンをクリックするとその記事の著者をフォローできます。 確認方法 フォロー中の著者を確認したい場合、ヘッダーのマイページアイコンからマイページを開くことで確認できます。 解除方法 フォローを解除する際は、マイページのフォロー中の著者一覧から「フォロー中」アイコンをクリック、または解除したい著者の記事を開き、タイトル下にある「フォロー中」アイコンをクリックすることで解除できます。 ご登録 ログイン