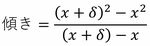
AIが普及したいま、「微分」の初歩は中学校で教えなさい!
子供の興味を引き出す「スケボー」などの応用問題
2025.6.8(日)
ここからは、JBpress Premium 限定です。
カンタン登録!続けて記事をお読みください。詳細はこちら
あわせてお読みください
本日の新着
政府が補正予算で見せたAI活用の本気度、AIと半導体に追加投資の意味とは
政府が狙うAI立国、AI活用は企業経営の必須科目に
木寺 祥友
「広島県初の女性知事」に願う、男女格差を指摘せず男性年長者に逆らわぬ女性しか認められない社会にだけはどうか…
【どーしょーるん】「男は仕事、女は仕事と家事」の考え根強い広島、若い女性はどんどん他地域へ、この状況を女性知事は変えてくれるのか
宮崎 園子
毛沢東や鄧小平の時代とは違う、強大国となった習近平時代の中国は「台湾」で妥協しない、その虎の尾をなぜ安易に…
【舛添直言】商売でやっている保守系雑誌の真似をして、威勢のいいことを言うのは政治家の仕事じゃない
舛添 要一
香港高層マンション火災、背後に親中派の汚職か…浮上する人災説、竹の足場より疑わしい中国化した香港の闇
はやくも言論弾圧、当局による原因究明を多くの市民は信じていない
福島 香織
世界の中の日本 バックナンバー
要件が厳格化された外国人の経営者ビザ、次の論点は外国人労働者の6分の1を占める「技人国ビザ」の外国人派遣社員
長野 光 | 海老原 嗣生
赤門、安田講堂、イチ公、上野英三郎博士と「ハチ」……異色の東京大学ガチャはなぜ生まれたのか?
尾松 洋明
軍需産業の売上高、日本と韓国の企業が大幅増、欧州からの引き合い急増の韓国は「世界4大軍需輸出国を目指す」勢い
木村 正人
時計の文字盤を知らない子供たち、激変し始めた小学校の教育環境
伊東 乾
増え続ける在留外国人に全く足りていない日本語教育の機会、日本は移民を受け入れる準備がどれだけできているのか?
長野 光 | 佐藤 友則
「汚い首は斬ってやる」の暴言はなぜ生まれた?虚勢を張りたがる中国外交官が生み出される歴史的背景
安木 新一郎


