仏パリ(Paris)東郊のクロワッシーシュルセーヌ(Croissy-sur-Seine)の学校で、授業を受ける生徒(2012年12月3日撮影、資料写真)。(c)AFP/FRED DUFOUR〔AFPBB News〕
夏休みなので、小学校の算数を考えてみましょう。分数の問題です。
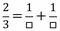
問い 以下の空欄を埋めよ。右辺は分子が1の分数で、分母を求めて記入せよ。
1番
2番

ギャラリーページへ
3番
ギャラリーページへ
(* 配信先のサイトでこの記事をお読みの方はこちらで本記事の数式をご覧いただけます。
http://jbpress.ismedia.jp/articles/-/53736)
ぜひ、お父さんお母さんも、小さなお子さんと一緒に鉛筆をもって、問題を考えてみて下さい。
1番は楽勝ですね。

ギャラリーページへ
と、すぐに求まります。では2番や3番はどうでしょうか?

