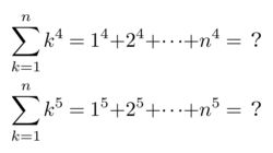
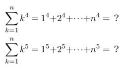
ゼータ関数を支える日本人数学者、関孝和 人はたすことをやめない~Σの原風景 桜井 進 著者フォロー フォロー中 数理科学 2016.6.2(木) シェア26 Tweet 1 2 3 4 ギャラリーページへ 総和公式の証明のポイント パタパタ法 一般項がk2の場合の総和公式がどのように導出されるのかをざっくり辿ってみましょう。要になるのが次の式です。 残り2119文字 ここからは、JBpress Premium 限定です。 会員ログイン JBpress Premiumを無料で試す 初月無料 税込550円/月 全記事読み放題! カンタン登録!続けて記事をお読みください。詳細はこちら Premium会員に人気の記事 【自民党総裁選】小泉純一郎はルール変更追い風に初勝利、強者・権力者が「ゴールポスト」を動かした歴史 参政党の演説に在日コリアン3世の私が共感してしまった理由 AIが「働きたくても働けない人」と「働かなくてもいい人」を生成し始めた シェア26 Tweet あわせてお読みください 宇宙を支えていたのは、驚異のたし算だった 人はたすことをやめない~オイラーの超絶技法 桜井 進 人生を積分して知る驚きの結果、大学生は早下り坂 ジャネの法則~時の速さはそれまで生きてきた期間の比で表される 桜井 進 知らずに乗ってはいけない 安全な航空会社はどこ? 3つの観点から航空機の安全性を評価する 茂木 寿 虚数を実感できる、数平面という考え方 マイナス×マイナスがプラスになるわけ 桜井 進 人類最高傑作はいよいよオイラーの公式へ オイラー物語のはじまり~数の世界のシンフォニー 桜井 進 本日の新着 一覧 「日本版DOGE」は生命保険料控除に切り込むべき理由、年末調整の時期に考えたい保険料控除の話 【ミニマル金融のススメ】 我妻 佳祐 生きづらさは弱さではない、本当の「ありのままの自分」と心を病むことを生きる力に変える視点 【著者が語る】『心を病む力』の上谷実礼が語る、感情を抑え込んで生きてきた私たちに伝えたいこと 関 瑶子 | 上谷 実礼 香港高層マンション火災、背後に親中派の汚職か…浮上する人災説、竹の足場より疑わしい中国化した香港の闇 はやくも言論弾圧、当局による原因究明を多くの市民は信じていない 福島 香織 【ウナギの闇】ハイチでは麻薬ビジネスのマネーロンダリングに利用も、資源管理には大消費国・日本の責任が大きい ワシントン条約の規制は免れたが、求められる厳格管理と資源回復に向けた方策 志田 富雄 数の世界の大冒険 バックナンバー 一覧 新型コロナ対策:外出自粛効果はどれだけあるのか 桜井 進 数学ツールで遊んでみよう 桜井 進 江戸時代、世界最先端だった日本の数学 桜井 進 関孝和の最大の理解者、建部賢弘 桜井 進 江戸の数学を発展させた遺題継承 桜井 進 日本を数学大国にしたミリオンセラー『塵劫記』 桜井 進 フォロー機能について フォロー機能とは、指定した著者の新着記事の通知を受け取れる機能です。 フォローした著者の新着記事があるとヘッダー(ページ上部)のフォロー記事アイコンに赤丸で通知されます。 フォローした著者の一覧はマイページで確認できます。 ※フォロー機能は無料会員と有料会員の方のみ使用可能な機能です。 設定方法 記事ページのタイトル下にある「フォローする」アイコンをクリックするとその記事の著者をフォローできます。 確認方法 フォロー中の著者を確認したい場合、ヘッダーのマイページアイコンからマイページを開くことで確認できます。 解除方法 フォローを解除する際は、マイページのフォロー中の著者一覧から「フォロー中」アイコンをクリック、または解除したい著者の記事を開き、タイトル下にある「フォロー中」アイコンをクリックすることで解除できます。 ご登録 ログイン