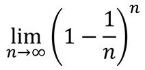
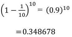
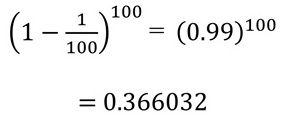
連載の次の記事
100兆円規模「GDP蒸発」を引き起こす学力喪失

本日の新着
中国関与が濃厚な偽アカウント、選挙中に「高市は腐敗した軍国主義者」と拡散、これがAI駆使したSNS世論操作の全貌
木村 正人
日本史最大のミステリー「倭の五王」とは一体誰のことなのか?『日本書紀』が仕掛けた壮大なミステリーを読み解く
【著者に聞く】『倭の五王たちの真実』の伊藤雅文が語る、天武天皇はなぜ歴史を書き換えたのか?
関 瑶子 | 伊藤 雅文
「われらが早苗」に富裕層入りの夢を託した中高年が注意すべき不動産投資の落とし穴、「アベノミクス再来」に潜む罠
「夢よもう一度」にかけない方がいい、50代にお勧めしたいこと
牧野 知弘
「国論を二分する」問題に着手し日本を変えるという高市首相、巨大与党が味方でも難題山積、「長期政権」の保証なし
【舛添直言】衆院で圧倒的多数を握っていても強引な政権運営は命取りに
舛添 要一





















