次の記事へ
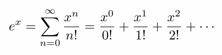
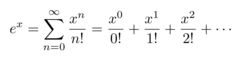
どうして分数のわり算はひっくり返してかけるの?
関連記事
どうして分数のわり算はひっくり返してかけるの? どうして0で割ってはいけないの? 「自動運転バブル」はこのまま崩壊の道を歩むのか? リーマン予想が解ける時 ついに、リーマンゼータの零点を見る

本日の新着

一覧
ドイツ経済は「フリーフォール」状態で八方塞がり、財政拡大や反移民政策などでスタグフレーションのリスク
藤 和彦
首都圏では「年収1000万円」でも安心してマンションを購入できない時代、高望みせずに買えるエリアはどこか
【JBpressセレクション】
山下 和之
それでも退職代行・引き止めサービスが活況を呈する背景と問題点、会社と社員の意思疎通はなぜ壊れるのか
川上 敬太郎
【Podcast】日本株はどこまで上がる?高市政権で現実味増す長期強気シナリオを徹底検証、企業改革は第2フェーズへ
耳で聴くJBpress《ちょっとクセになるニュース》
JBpress
フォロー機能について

フォロー機能とは、指定した著者の新着記事の通知を受け取れる機能です。
フォローした著者の新着記事があるとヘッダー(ページ上部)のフォロー記事アイコンに赤丸で通知されます。
フォローした著者の一覧はマイページで確認できます。
※フォロー機能は無料会員と有料会員の方のみ使用可能な機能です。


設定方法

記事ページのタイトル下にある「フォローする」アイコンをクリックするとその記事の著者をフォローできます。


確認方法

フォロー中の著者を確認したい場合、ヘッダーのマイページアイコンからマイページを開くことで確認できます。


解除方法

フォローを解除する際は、マイページのフォロー中の著者一覧から「フォロー中」アイコンをクリック、
または解除したい著者の記事を開き、タイトル下にある「フォロー中」アイコンをクリックすることで解除できます。