パターンからルールを見つけよう
(画像1/10)
東工大オリシ゛ナルテンフ゜レート
(画像2/10)
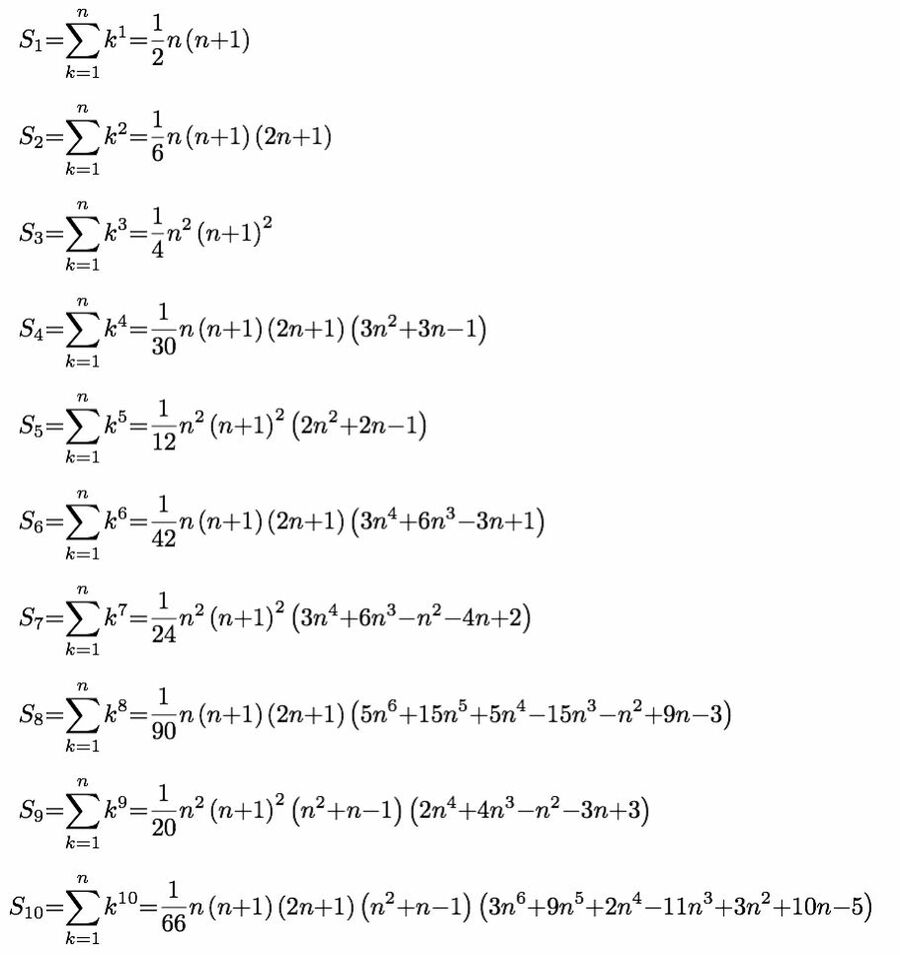
総和公式(1乗から10乗まで)
拡大画像表示
(画像3/10)
総和公式(11乗から20乗まで)
拡大画像表示
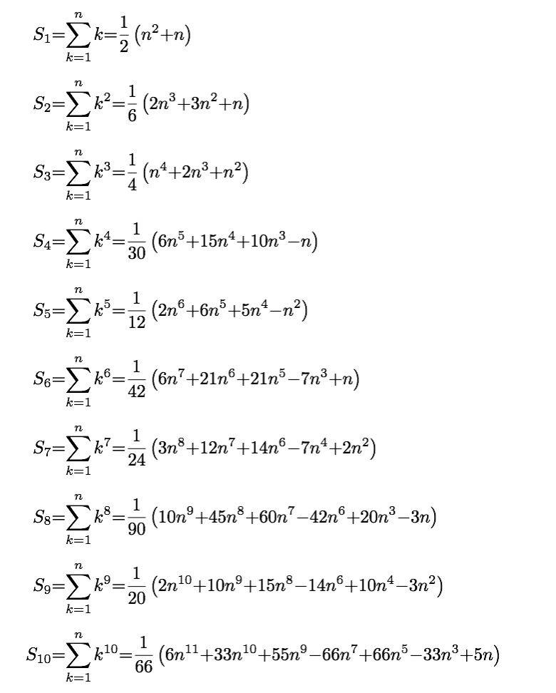
(画像4/10)
総和公式(1乗から10乗まで)因数分解バージョン
拡大画像表示
(画像5/10)
総和公式(11乗から20乗まで)因数分解バージョン
拡大画像表示
(画像6/10)
総和公式(1乗から10乗まで)因数分解色識別バージョン
拡大画像表示
(画像7/10)
総和公式(11乗から20乗まで)因数分解色識別バージョン
拡大画像表示
(画像8/10)
総和公式(奇数乗S3、S5、…、S19)
拡大画像表示
(画像9/10)
総和公式(偶数乗S4、S6、S8、…、S20)偶数
拡大画像表示
(画像10/10)
パターンからルールを見つけよう
この写真の記事を読む
次の記事へ
1から10万や奇数、偶数を簡単にたし算する方法
関連記事
1から10万や奇数、偶数を簡単にたし算する方法 平均寿命の計算法を編み出したバベッジの夢 ビッグ・データ時代に対数表を味わう 知っておきたい平方根の計算方法 電卓はいかに計算しているのか

本日の新着

一覧
イラン「ネット遮断中に抗議者2400人死亡」に国民激怒、トランプも圧力強化、ハメネイ体制崩壊へのカウントダウン
木村 正人
【グリーンランド問題】米国のNATO離脱に現実味、米欧の亀裂が一線を越える可能性
藤 和彦
テヘランでマドゥロを観察する目、国内のデモと海外の脅威で揺らぐイランの体制
The Economist
愛らしくも自分勝手なクソ野郎、実在する卓球選手をシャラメが演じた「マーティ・シュプリーム」が大ヒットする必然
【映像作家・元吉烈のシネマメリカ!】シャラメ以外に主人公が思い当たらないはまり役、豚とのキスをかけた最後の戦いはいかに?
元吉 烈
フォロー機能について

フォロー機能とは、指定した著者の新着記事の通知を受け取れる機能です。
フォローした著者の新着記事があるとヘッダー(ページ上部)のフォロー記事アイコンに赤丸で通知されます。
フォローした著者の一覧はマイページで確認できます。
※フォロー機能は無料会員と有料会員の方のみ使用可能な機能です。


設定方法

記事ページのタイトル下にある「フォローする」アイコンをクリックするとその記事の著者をフォローできます。


確認方法

フォロー中の著者を確認したい場合、ヘッダーのマイページアイコンからマイページを開くことで確認できます。


解除方法

フォローを解除する際は、マイページのフォロー中の著者一覧から「フォロー中」アイコンをクリック、
または解除したい著者の記事を開き、タイトル下にある「フォロー中」アイコンをクリックすることで解除できます。